多次元宇宙 11
程式員頭腦 9
時間定義 4
以上所講的,是個別 variable(變數)的「主觀時間」。同一個 variable x,不同的「時間」,有不同的數值;不同的數值,對應於不同的「時間」。
當有超過一個 variable 時,而眾多 variables 又會互相影響的話,它們數值的變化次序就不能隨便改變。那些 variables 間,就會有「因果」關係,形成一個「因果網絡」。那個「因果網絡」,就是「客觀時間」。
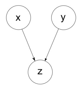
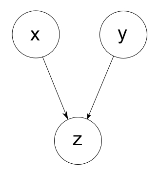
例如,假設那個「銀行會計程式」有三個 variables:x, y 和 z。 x 代表我的現金戶口的結餘; y 代表我的支票戶口的結餘; z 則代表我(存於該銀行)的財產。換言之, x + y = z 。
x 和 y 之間,沒有「因果」關係,因為你可以改 x 不改 y ,或者改 y 不改 x。但是,你改變 x 或 y 的話, z 就會改變。或者說,你要改變 z 的話,就一定要透過改變 x 或 y 才能做到。所以 x 和 y 是 z 的「原因」。
x, y 和 z 之間,有因果關係,形成一個「因果網絡」。
— Me@2010.04.15
2010.04.15 Thursday (c) All rights reserved by ACHK
