Functional Differential Geometry
.
~~~
(define R2 (make-manifold R^n 2)) (define U (patch 'origin R2)) (define R2-rect (coordinate-system 'rectangular U)) (define R2-polar (coordinate-system 'polar/cylindrical U)) (define R2-rect-chi (chart R2-rect)) (define R2-rect-chi-inverse (point R2-rect)) (define R2-polar-chi (chart R2-polar)) (define R2-polar-chi-inverse (point R2-polar)) (show-expression ((compose R2-polar-chi R2-rect-chi-inverse) (up 'x_0 'y_0)))

(show-expression ((D (compose R2-rect-chi R2-polar-chi-inverse)) (up 'r_0 'theta_0)))

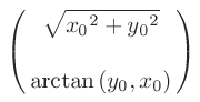
(define R2->R (-> (UP Real Real) Real)) (define f (compose (literal-function 'f-rect R2->R) R2-rect-chi)) (define R2-rect-point (R2-rect-chi-inverse (up 'x_0 'y_0))) (define corresponding-polar-point (R2-polar-chi-inverse (up (sqrt (+ (square 'x_0) (square 'y_0))) (atan 'y_0 'x_0)))) (f R2-rect-point) (f corresponding-polar-point) (show-expression (f R2-rect-point)) (show-expression (f corresponding-polar-point))

— Me@2022-11-18 11:22:36 AM
.
.
2022.11.18 Friday (c) All rights reserved by ACHK
You must be logged in to post a comment.