Ex 1.24 Constraint forces, 1.1
Structure and Interpretation of Classical Mechanics
.
~~~
[guess]

.
.
(define (KE-particle m v)
(* 1/2 m (square v)))
(define ((extract-particle pieces) local i)
(let* ((indices (apply up (iota pieces (* i pieces))))
(extract (lambda (tuple)
(vector-map (lambda (i)
(ref tuple i))
indices))))
(up (time local)
(extract (coordinate local))
(extract (velocity local)))))
(define (U-constraint q0 q1 F l)
(* (/ F (* 2 l))
(- (square (- q1 q0))
(square l))))
(define ((U-gravity g m) q)
(let* ((y (ref q 1)))
(* m g y)))
(define ((L-driven-free m l x_s y_s U) local)
(let* ((extract (extract-particle 2))
(p (extract local 0))
(q (coordinate p))
(qdot (velocity p))
(F (ref (coordinate local) 2)))
(- (KE-particle m qdot)
(U q)
(U-constraint (up (x_s (time local)) (y_s (time local)))
q
F
l))))
(let* ((U (U-gravity 'g 'm))
(x_s (literal-function 'x_s))
(y_s (literal-function 'y_s))
(L (L-driven-free 'm 'l x_s y_s U))
(q-rect (up (literal-function 'x)
(literal-function 'y)
(literal-function 'F))))
(show-expression
((compose L (Gamma q-rect)) 't)))
(let* ((U (U-gravity 'g 'm))
(x_s (literal-function 'x_s))
(y_s (literal-function 'y_s))
(L (L-driven-free 'm 'l x_s y_s U))
(q-rect (up (literal-function 'x)
(literal-function 'y)
(literal-function 'F))))
(show-expression
(((Lagrange-equations L) q-rect) 't)))

(define ((F->C F) local)
(->local (time local)
(F local)
(+ (((partial 0) F) local)
(* (((partial 1) F) local)
(velocity local)))))
(define ((q->r x_s y_s l) local)
(let* ((q (coordinate local))
(t (time local))
(theta (ref q 0))
(F (ref q 1)))
(up (+ (x_s t) (* l (sin theta)))
(- (y_s t) (* l (cos theta)))
F)))
(let ((q (up (literal-function 'theta)
(literal-function 'F))))
(show-expression (q 't)))

(let* ((x_s (literal-function 'x_s))
(y_s (literal-function 'y_s))
(q (up (literal-function 'theta)
(literal-function 'F))))
(show-expression ((Gamma q) 't)))

(let* ((xs (literal-function 'x_s))
(ys (literal-function 'y_s))
(q (up (literal-function 'theta)
(literal-function 'F))))
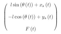
(show-expression ((compose (q->r xs ys 'l) (Gamma q)) 't)))

(let* ((xs (literal-function 'x_s))
(ys (literal-function 'y_s))
(q (up (literal-function 'theta)
(literal-function 'F))))
(show-expression ((F->C (q->r xs ys 'l)) ((Gamma q) 't))))

(define (L-theta m l x_s y_s U)
(compose
(L-driven-free m l x_s y_s U) (F->C (q->r x_s y_s l))))
(let* ((U (U-gravity 'g 'm))
(xs (literal-function 'x_s))
(ys (literal-function 'y_s))
(q (up (literal-function 'theta)
(literal-function 'F))))
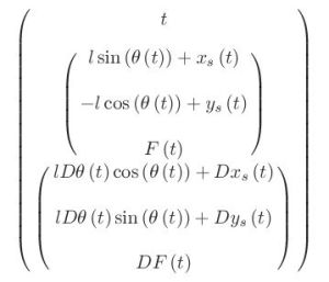
(show-expression ((Gamma
(compose (q->r xs ys 'l) (Gamma q)))
't)))

(let* ((U (U-gravity 'g 'm))
(xs (literal-function 'x_s))
(ys (literal-function 'y_s))
(q (up (literal-function 'theta)
(literal-function 'F))))
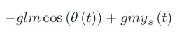
(show-expression (U ((compose (q->r xs ys 'l) (Gamma q)) 't))))

(let* ((U (U-gravity 'g 'm))
(xs (literal-function 'x_s))
(ys (literal-function 'y_s))
(q (up (literal-function 'theta)
(literal-function 'F))))
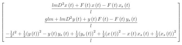
(show-expression ((L-driven-free 'm 'l xs ys U)
((Gamma (compose (q->r xs ys 'l) (Gamma q))) 't))))


(let* ((U (U-gravity 'g 'm))
(xs (literal-function 'x_s))
(ys (literal-function 'y_s))
(q (up (literal-function 'theta)
(literal-function 'F))))
(show-expression ((L-theta 'm 'l xs ys U) ((Gamma q) 't))))
[guess]
— Me@2022-03-24 04:38:10 PM
.
.
2022.03.26 Saturday (c) All rights reserved by ACHK
You must be logged in to post a comment.