Structure and Interpretation of Classical Mechanics
.
A particle of mass slides off a horizontal cylinder of radius
in a uniform gravitational field with acceleration
. If the particle starts close to the top of the cylinder with zero initial speed, with what angular velocity does it leave the cylinder?
~~~

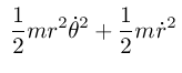
(define ((KE m g R) local) (let ((t (time local)) (thetadot (velocity local))) (* 1/2 m (square R) (square thetadot)))) (define ((PE m g R) local) (let ((t (time local)) (theta (coordinate local)) (thetadot (velocity local))) (- (* m g R (- 1 (cos theta)))))) (define L (- KE PE)) (show-expression ((L 'm 'g 'R) (->local 't 'theta 'thetadot))) (show-expression (((Lagrange-equations (L 'm 'g 'R)) (literal-function 'theta)) 't))


This derivation is wrong, because the constraint force is missing.
.
(define ((F->C F) local) (->local (time local) (F local) (+ (((partial 0) F) local) (* (((partial 1) F) local) (velocity local))))) (define (q->r local) (let ((q (coordinate local))) (let ((r (ref q 0)) (theta (ref q 1)) (lambd (ref q 2))) (let ((x (* r (sin theta))) (y (* r (cos theta)))) (up x y lambd))))) (show-expression (q->r (->local 't (up 'r 'theta 'lambda) (up 'rdot 'thetadot 'lambdadot))))

(define (KE m vx vy) (* 1/2 m (+ (square vx) (square vy)))) (define ((T-rect m) local) (let ((q (coordinate local)) (v (velocity local))) (let ((xdot (ref v 0)) (ydot (ref v 1))) (KE m xdot ydot)))) (show-expression ((T-rect 'm) (up 't (up 'x 'y 'lambda) (up 'xdot 'ydot 'lambdadot))))

(show-expression
((T-rect 'm)
((F->C q->r)
(->local 't
(up 'r 'theta 'lambda)
(up 'rdot 'thetadot 'lambdadot)))))

(define ((U-rect g m) local) (let* ((q (coordinate local)) (y (ref q 1))) (* g (+ (* m y))))) (define (L-rect g m) (- (T-rect m) (U-rect g m))) (define (L g m) (compose (L-rect g m) (F->C q->r))) (show-expression ((L 'g 'm) (->local 't (up 'r 'theta 'lambda) (up 'rdot 'thetadot 'lambdadot))))

(show-expression
(((Lagrange-equations
(L 'g 'm))
(up
(literal-function 'r)
(literal-function 'theta)
(literal-function 'lambda)))
't))

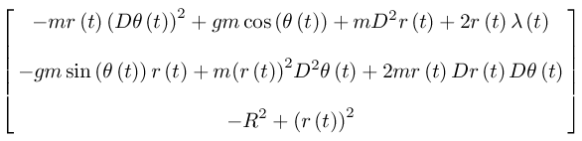
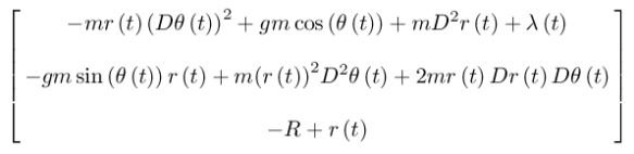
(define ((U-constraint R) local) (let* ((q (coordinate local)) (x (ref q 0)) (y (ref q 1)) (lambd (ref q 2)) (r_sq (+ (square x) (square y)))) (* lambd (- r_sq (square R))))) (define ((U2-constraint R) local) (let* ((q (coordinate local)) (x (ref q 0)) (y (ref q 1)) (lambd (ref q 2)) (r_sq (+ (square x) (square y)))) (* lambd (- (sqrt r_sq) R))))
(define (L-rect-constraint g m R) (- (T-rect m) (+ (U-rect g m) (U-constraint R)))) (define (L2-rect-constraint g m R) (- (T-rect m) (+ (U-rect g m) (U2-constraint R)))) (show-expression ((L-rect-constraint 'g 'm 'R) ((F->C q->r) (->local 't (up 'r 'theta 'lambda) (up 'rdot 'thetadot 'lambdadot))))) (show-expression ((L2-rect-constraint 'g 'm 'R) ((F->C q->r) (->local 't (up 'r 'theta 'lambda) (up 'rdot 'thetadot 'lambdadot)))))


(show-expression
(((Lagrange-equations
(compose (L-rect-constraint 'g 'm 'R) (F->C q->r)))
(up
(literal-function 'r)
(literal-function 'theta)
(literal-function 'lambda)))
't))
(show-expression
(((Lagrange-equations
(compose (L2-rect-constraint 'g 'm 'R) (F->C q->r)))
(up
(literal-function 'r)
(literal-function 'theta)
(literal-function 'lambda)))
't))


(show-expression
(((Lagrange-equations
(compose (L-rect-constraint 'g 'm 'R) (F->C q->r)))
(up
(lambda (t) 'R)
(literal-function 'theta)
(literal-function 'lambda)))
't))

— Me@2023-07-12 10:00:19 PM
.
.
2023.07.13 Thursday (c) All rights reserved by ACHK
You must be logged in to post a comment.