Structure and Interpretation of Classical Mechanics
.
…
What symmetry(ies) can you have?
Find coordinates that express the symmetry.
What is conserved?
Give [the] analytic expression(s) for the conserved quantity(ies).
~~~
[guess]
…
(define ((F->C F) local) (->local (time local) (F local) (+ (((partial 0) F) local) (* (((partial 1) F) local) (velocity local))))) (define (L-driven m R qs U) (compose (L-rect m R qs U) (F->C (sf->rf qs)))) (let* ((U (U-gravity 'g 'm)) (xs (lambda (t) 0)) (ys (lambda (t) 0)) (zs (literal-function 'z_s)) (qs (up xs ys zs)) (L (L-driven 'm 'R qs U)) (q (up (literal-function 'r) (literal-function 'theta) (literal-function 'phi) (literal-function 'lambda)))) (show-expression ((compose L (Gamma q)) 't)))
(+ (* 1/2 m (expt (r t) 2)
(expt (sin (theta t)) 2)
(expt ((D phi) t) 2))
(* -1 m ((D z_s) t)
(r t)
(sin (theta t))
((D theta) t))
(* 1/2 m (expt (r t) 2)
(expt ((D theta) t) 2))
(* -1 g m (cos (theta t)) (r t))
(* m ((D r) t)
((D z_s) t)
(cos (theta t)))
(* (expt R 2) (lambda t))
(* -1 g m (z_s t))
(* 1/2 m (expt ((D r) t) 2))
(* 1/2 m (expt ((D z_s) t) 2))
(* -1 (lambda t) (expt (r t) 2)))
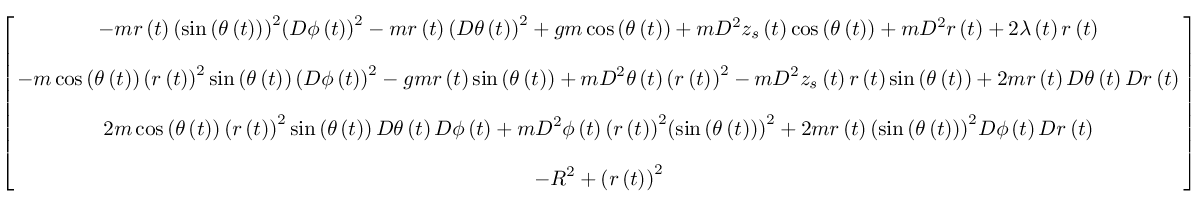
(let* ((U (U-gravity 'g 'm)) (xs (lambda (t) 0)) (ys (lambda (t) 0)) (zs (literal-function 'z_s)) (qs (up xs ys zs)) (L (L-driven 'm 'R qs U)) (q (up (literal-function 'r) (literal-function 'theta) (literal-function 'phi) (literal-function 'lambda)))) (show-expression (((Lagrange-equations L) q) 't)))
(let* ((U (U-gravity 'g 'm)) (xs (lambda (t) 0)) (ys (lambda (t) 0)) (zs (literal-function 'z_s)) (qs (up xs ys zs)) (L (L-driven 'm 'R qs U)) (q (up (literal-function 'r) (literal-function 'theta) (literal-function 'phi) (literal-function 'lambda)))) (show-expression ((compose (Lagrangian->energy L) (Gamma q)) 't)))
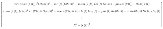
(let* ((U (U-gravity 'g 'm)) (xs (lambda (t) 0)) (ys (lambda (t) 0)) (zs (literal-function 'z_s)) (qs (up xs ys zs)) (L (L-driven 'm 'R qs U)) (q (up (literal-function 'r) (literal-function 'theta) (literal-function 'phi) (literal-function 'lambda)))) (show-expression ((compose ((partial 1) L) (Gamma q)) 't)))
The
component of the force is zero because
does not appear in the Lagrangian (it is a cyclic variable). The corresponding momentum component is conserved. Compute the momenta:
(let* ((U (U-gravity 'g 'm)) (xs (lambda (t) 0)) (ys (lambda (t) 0)) (zs (literal-function 'z_s)) (qs (up xs ys zs)) (L (L-driven 'm 'R qs U)) (q (up (literal-function 'r) (literal-function 'theta) (literal-function 'phi) (literal-function 'lambda)))) (show-expression ((compose ((partial 2) L) (Gamma q)) 't)))

[guess]
— Me@2023-08-20 05:02:09 PM
.
.
2023.09.15 Friday (c) All rights reserved by ACHK



You must be logged in to post a comment.