Multiple Choices 2
這段改編自 2010 年 2 月 7 日的對話。
.
當你做同一課的 MC(Multiple Choices, 多項選擇題)時,你就好像用多個角度,看那一課一般。透過對比一堆同一課的題目,你比較容易看出,該課背後的重點。對你來說,該課就更加有「立體感」。
用這個方法,你就可以解決「懂公式,而不懂做題目」的問題。
雖然方法本身簡單,但是對初學者來說,執行起來未必容易。即使做一題 MC,也可能花你很多時間。例如,那題 MC 對應的那個課題,共有十多條常用公式。那樣,你怎知道應該用哪幾條呢?
你可以用這個技巧:閱讀題目時,間底重要的字眼(underlining the keywords)。通常每組重要字眼,都會對應一條公式。
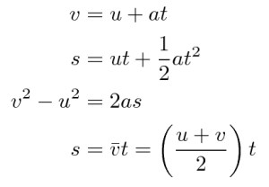
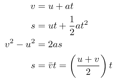
例如:「constant acceleration」(均勻加速)即代表,你可以用以下的 kinematic equations(運動學方程):
那是因為,這 4 條式都,假設了「均勻加速」,所以,在不是「均勻加速」的情況下,就不可以用。
試試另一題:這題有「Gravitational force」(重力)這組重要字眼,所以很明顯是用 gravitational force 的那條式:
如果你不知道是用這條式的話,很可能是你分不清楚「gravitational force(重力)」、「gravitational potential energy(重力位能)」和「gravitational potential(重力位)」。那樣,你在溫習時,就要特別留意這些地方:
什麼是「重力」?
什麼是「重力位能」?
什麼是「重力位」?
三者有什麼關係?
三者有什麼分別?
這正是「MC 有助高速釐清一課 concept(概念)」的原因。你可以透過做同一課的 MC 題目,立刻知道自己於該課的「概念漏洞」,從而修正。
— Me@2010.06.09
.
.
2010.06.09 Wednesday (c) All rights reserved by ACHK

