Choosing a graph 2 | 多項選擇題 2.2 | Multiple Choices 2.2 | 1991-CE-PHY II-7 a
這段改編自 2010 年 3 月 18 日的對話。
.
這題的重點是,你要間底(underline)「constant force(恆力)」。
上次我提過,在閱讀 MC(Multiple Choices, 多項選擇)題目時,你一定要間底重要的字眼(underlining the keywords)。通常每組重要字眼,都會對應於一條公式。
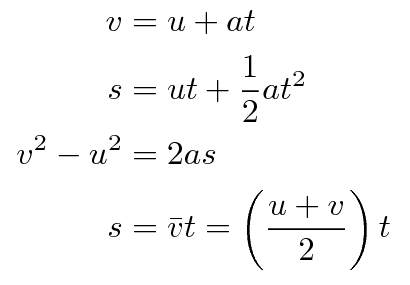
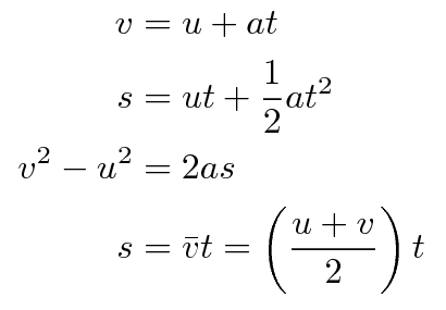
例如,在這一題(1991-CE-PHY II-7),你間底了「constant force」和「initially at rest(初始時,物體為靜止)」。「Constant force」對應於「constant acceleration(恆加速度)」,因為,如果該題只有 F 一個力的話, F = ma。(只有在 F 等於淨力(net force)時,F 才會等於 ma。) 而「constant acceleration」就代表你可以用以下的 kinematic equations(運動學方程):
因為這 4 條式假設了「constant acceleration」,所以,在不是「constant acceleration」的情況下,不可以用。換言之,如果題目提到「constant acceleration」的話,即是暗示了,你要用那四條 kinematic equations 的其中一條。
constant net force –> constant acceleration –> kinematic equations
— Me@2010.06.29
— Me@2019.02.05
.
.
2010.06.29 Tuesday (c) All rights reserved by ACHK
